电磁兼容(EMC)整改全攻略:解锁电子设备无干扰运行密码

分享到:

在电子设备无处不在的现代社会,电磁兼容(EMC)问题如同隐藏在幕后的 “隐形杀手”,悄然影响着设备的性能与稳定性。当电子设备在复杂电磁环境中运行时,电磁干扰可能导致设备故障、通信中断,甚至影响其他设备正常工作。因此,深入探究 EMC 整改之道至关重要。
 
EMC
 
EMC 涵盖设备在电磁环境中正常运行且互不干扰的双重要求,包括电磁干扰(EMI)和电磁敏感性(EMS)两个关键方面。电子设备间的干扰主要通过电磁传导、感应和辐射三种方式传播,严重时会干扰设备运行、危及人员安全。
 
整改第一步是精准定位辐射源。可运用排除法,如拔线法、分区工作排除法等,通过逐一排查线路与元件,找出干扰源头;频谱分析仪频点搜索法借助专业设备,精准捕捉异常频点;元件固有频率分析法针对晶振、DDR 等固定频率元件及其倍频进行分析,快速锁定辐射源。
 
滤波是常用整改手段之一。电容滤波利用电容对不同频率信号的容抗特性,滤除特定频率干扰。例如,在电源电路中,对于高频噪声,通常会选择陶瓷电容,其具有较低的等效串联电阻(ESR)和等效串联电感(ESL),能够有效地旁路高频信号到地。根据电容的容抗公式:
057059ef47098f7b83ea6be7afc5433
其中f是信号频率,C是电容值,频率越高,容抗越小,对高频信号的旁路作用越强。
 
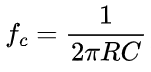
RC 滤波结合电阻和电容,调节信号频率响应。在一些音频电路中,常使用 RC 低通滤波器来去除高频噪声,保留低频音频信号。通过合理选择电阻  和电容  的值,可以调整滤波器的截止频率:
5ddc328f4e32e8bcc0dac3518bb4b5a
,使高于截止频率的信号得到有效衰减。
 
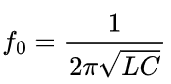
LC 滤波凭借电感和电容的协同作用,有效阻挡不需要的频率成分,确保设备信号纯净。在射频电路中,LC 带通滤波器常用于选择特定频率的信号,抑制其他频率的干扰。电感的感抗公式为:
4dc0856d8d59de55eaec1e9336c8083
,与电容配合,当信号频率等于谐振频率
b95db4bd00fd6ef381576c0f6119961
时,电路呈现纯电阻特性,信号可以顺利通过,而偏离谐振频率的信号则受到抑制。
 
吸波材料与方法的应用也不容忽视。电路串联磁珠法利用磁珠对高频信号的损耗特性,抑制高频干扰。磁珠本质上是一种高频阻抗元件,其等效电路可以看作是一个电阻  和电感  的串联组合,在高频下,磁珠的阻抗主要由电阻决定,通过将高频电流转化为热能消耗掉,从而达到抑制高频干扰的目的。
 
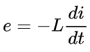
绕穿磁环法借助磁环的电感特性改变电流路径,减少干扰。磁环一般由铁氧体材料制成,当导线穿过磁环时,相当于增加了导线的电感量。根据电磁感应定律:
cefc98afc22755732c8747ee0aefb95
,电感会对变化的电流产生反向电动势,阻碍电流的变化,进而减少高频电流产生的电磁辐射。
 
贴吸波材料法需确保辐射超标电磁波频率在吸波材料有效范围内,否则会失效。吸波材料通常是基于材料对电磁波的吸收和散射原理工作,例如铁氧体吸波材料,它能够将电磁波的能量转化为热能而消耗掉,从而降低电磁辐射强度。
 
接地在 EMC 整改中起着关键作用。单点接地法适用于低频电路,可防止工频电流及杂散电流产生地电位差。在低频电路中,信号的波长较长,地线上的阻抗相对较小,单点接地能够有效地避免地环路电流产生的干扰。
 
多点接地法则是高频信号的首选,当地线长度超最高频率 1/8 波长时,需等电位接地平面保障接地有效性,确保信号稳定传输。在高频情况下,信号的波长较短,地线的阻抗会变得较大,多点接地可以降低地线的阻抗,减少信号反射和干扰。例如,在高速数字电路中,通常采用多层印制电路板(PCB),并将地层设计成大面积的等电位平面,以提供良好的接地环境。
 
屏蔽作为重要防护措施,能有效阻挡电磁干扰。电场屏蔽选用高导电材料并良好接地,依实际调整接地点与形状。例如,在电子设备的外壳上使用金属材料,并将其可靠接地,能够有效地屏蔽外部电场对内部电路的干扰。根据静电屏蔽原理,金属外壳内部电场强度为零,从而保护内部电路不受外部电场影响。
 
磁场屏蔽采用铁磁性材料,远离磁性元件,必要时多层屏蔽,开孔注意方向。铁磁性材料具有高磁导率,能够引导磁场线通过自身,减少外部磁场对设备内部的影响。在设计时,要注意使磁性元件的磁场方向与敏感电路的方向相互垂直,以减少磁场耦合。对于强磁场环境,可能需要采用多层屏蔽结构,进一步增强屏蔽效果。
 
电磁屏蔽则综合二者原理,依具体需求确定屏蔽方式、形状与接地,保障设备内部电路不受外界干扰。例如,在一些对电磁干扰非常敏感的电子设备中,如医疗设备、航空电子设备等,会采用全方位的电磁屏蔽措施,包括金属外壳、屏蔽罩以及合理的接地设计,以确保设备在复杂电磁环境下的正常运行。
 
能量分散法借助软件展频、跳频技术,针对尖峰毛刺波形辐射超标效果显著。通过展宽频率带宽、跳变频率,降低单点频率能量,减少辐射强度,但对包络形波形效果有限。在无线通信系统中,跳频技术广泛应用于避免干扰和提高通信安全性。例如,蓝牙技术采用跳频扩频(FHSS)技术,将 2.4GHz 的频段划分为 79 个 1MHz 的子信道,设备在不同的子信道上快速跳变传输数据,有效地避免了与其他无线设备的干扰。
 
在实际整改中,还需综合考虑多方面因素。如减弱干扰源,在 IC 的 Vcc 和 GND 间加合适去耦电容,缩短引线。去耦电容的作用是为 IC 提供一个局部的高频电源,减少电源线上的噪声对 IC 的影响。合适的去耦电容值需要根据 IC 的工作频率和功耗来选择,一般在几皮法到几十微法之间。
 
在保证性能前提下加衰减器,或使信号线远离干扰源。衰减器可以降低信号的幅度,从而减少信号产生的电磁辐射。例如,在射频电路中,当信号强度过高时,会在信号传输路径上加入固定衰减器或可调衰减器,将信号强度调整到合适的范围。
 
对于电线电缆,依高频或低频耦合特性分类整改,调整电路间距、追加屏蔽罩与滤波器、改变输入阻抗等。在高频情况下,主要考虑电磁辐射耦合,通过增加屏蔽层、减小导线间距等方式减少辐射;在低频情况下,主要考虑传导耦合,通过合理布线、增加滤波电路等方式降低干扰。
 
改善地线系统时,根据电路频率选择悬浮地、单点接地、多点接地或混合接地方式,降低阻抗与地电位差。例如,在一些对噪声敏感的模拟电路中,可能会采用悬浮地的方式,将电路的地与大地隔离,以避免大地噪声对电路的影响;而在数字电路与模拟电路混合的系统中,通常会采用混合接地的方式,将数字地和模拟地分别连接到一个公共的接地平面上,通过合适的电感或电容连接到大地,以减少数字电路对模拟电路的干扰。
 
EMC 领域存在重要规律。费效比关系表明,产品研发早期考虑 EMC 设计可节省成本与时间,反之则可能导致严重后果。高频电流环路面积越大、环路电流频率越高,EMI 辐射越严重,因此减小环路面积与频率是关键。EMC 问题主要涉及电磁干扰源、耦合途径、敏感设备三个要素,中断其中任一因素都能有效改善问题。
 
EMC 整改是保障电子设备稳定运行的关键环节。通过掌握上述多种整改方法与规律,综合运用、精准施策,能够有效提升设备电磁兼容性,确保电子设备在复杂电磁环境中可靠运行,推动电子技术产业健康发展。
 
更多资讯内容,详见文章
相关资讯
EMC大揭秘:电磁干扰如何影响你的电子设备?

电磁干扰(EMI)源于自然或人造,通过传导或辐射两种途径传播,导致设备性能不稳定甚至永久性故障。电磁兼容性(EMC)作为系统工程理念,旨在从源头、传播路径和受体三方面进行控制,通过优化电路设计、屏蔽、接地和增强抗扰能力等手段,确保设备在复杂的电磁环境中稳定、安全地运行。

5G时代的EMC挑战:高频通信下的干扰抑制策略

5G高频通信因Sub-6GHz与毫米波频段应用及Massive MIMO技术,使EMC面临干扰源增多、路径复杂等挑战:天线密集部署加剧耦合,射频器件非线性产失真干扰,设备密集与小型化添传播复杂性。应对需从技术入手,优化射频电路与天线布局,用屏蔽滤波阻干扰传播,借自适应滤波、波束赋形等信号处理技术抑制干扰。

电磁兼容(EMC):保障无线通信设备稳定运行的核心

电磁兼容(EMC)是无线设备在复杂电磁环境中稳定共存的核心技术,其原理在于通过抑制电磁干扰与提升抗扰度,实现设备正常工作且不干扰其他设备。电磁干扰源于内部电路设计等或外部环境影响,抗扰度则依赖屏蔽、滤波等防护措施。实现EMC需从设计阶段融入相关理念,以保障无线通信稳定高效。

电磁兼容(EMC)核心原理:从干扰抑制到系统协同

电磁兼容(EMC)核心在于电子设备在复杂电磁环境中既能正常工作又不产生不可接受干扰,其原理围绕电磁干扰(EMI)展开:自然与人为干扰源通过传导和辐射传播,需以接地、滤波、屏蔽抑制传导干扰,借屏蔽、合理布局布线及差分传输应对辐射干扰,同时系统设计中设备选型、布局、接口设计及测试协同发力,以实现设备与系统的电磁兼容。

汽车电子中的电磁兼容(EMC)挑战:从EMI干扰机理到整车系统设计

在汽车智能化、电动化趋势下,电子系统复杂度激增,电磁兼容(EMC)成为设计核心。EMI干扰分传导与辐射两类,前者经导体传播,后者通过电磁场耦合。动力总成、自动驾驶等系统易产生EMC问题。需从架构、选型、屏蔽接地等多维度防护,并借助仿真与标准测试,确保汽车电子系统可靠运行。

精彩活动