『从射频信号完整性到电源完整性』由VRM调制的模拟输出信号

Qorvo首席系统工程师/高级管理培训师 Masashi Nogawa将通过《从射频信号完整性到电源完整性》这一系列文章,与您探讨射频(RF)电源的相关话题,以及电源轨可能对噪声敏感的RF和信号链应用构成的挑战。这篇文章是本系列文章的最后一篇,将探讨射频(RF)或模拟电子元件的输出噪声信号如何受其电源轨扰动的影响,这些电源轨通常由电压调节模块(VRM)进行调节。
在半导体元件中,电源轨连接到模拟输入和输出端口。因此,这些电源轨上的任何扰动都可能使正在处理的RF或模拟信号失真。为了量化并系统地描述这种效应,人们经常使用电源调制比(PSMR)的概念。然而,本文重点关注一种更易理解的方法,通过一系列简单且易于可视化的例子来说明电源电压变化的影响。
关于此主题的优秀文献有很多。在本文中,我们采用了一种类似但略有修改的方法。具体而言,我们使用了具有以下参数的调频(FM)正弦波:
-
中心频率:10kHz
-
调制范围:±1kHz
-
三角频率扫描:100Hz重复率
此类FM信号非常适合于可视化与PSMR相关的现象;因为在我们的设置下,它在9kHz至11kHz间提供了一个平坦的峰值。虽然理想情况下应使用无调制的单音信号进行精确的PSMR表征,但我们的目标是利用易于理解的例子来说明这一概念。为此,新增的FM正弦波增强了可视化效果。
作为参考,本文中的所有实验均使用了以下设备:
Keysight E5052B:源信号分析仪(SSA)
Keysight 33220A:任意波形发生器(AWG)
泰克MSO64:示波器
在第一个例子中,我们研究了一个125MHz的时钟源。通过故意向3.3V电源注入噪声,我们预期会观察到其相位噪声的增加。
本实验针对的是低功耗、高阻抗时钟生成电路。因此,即使3.3V电源上的微小扰动,也可能对其相位噪声产生显著影响。这与本文后面提到的实验2(涉及低阻抗节点操作)形成对比。
感谢Picotest提供的VRTS3(电压调节器测试标准,第3版)演示板用于本次实验。板载的125MHz时钟源(高亮显示为绿色电路块)作为我们的被测设备(DUT)。

为了向125MHz时钟设备提供3.3V电源轨,同时叠加我们的调频信号,我们使用了经过定制改装的极低噪声低压差线性稳压器(LDO)模块。在此LDO模块上,台式任意波形发生器(AWG)的信号输出连接到LDO的降噪(NR)引脚。我们并未使用标准降噪功能,而是重新利用NR引脚注入噪声信号(请注意,市场上有很多商用“线路注入器”产品可供选择)。
在测量125MHz时钟DUT之前,我们首先使用FM信号注入对LDO进行表征。图13-1显示了LDO的噪声测量设置;其置于金属外壳内,以最大限度地减少外部干扰。
-
金属外壳内的所有组件均由电池供电,并使用LM317型线性稳压器以尽可能避免60Hz交流线路耦合,但交流供电的E5052B除外。
-
为了将来自AWG的FM信号注入到LDO的NR引脚,我们使用了J2101A注入变压器。FM信号与地线隔离,以避免接地问题;因为LDO输出节点连接到我们的接地分析仪。
-
鉴于LDO的极低噪声,我们在信号源分析仪(SSA)的基带端口之前放置了一个J2181A 60dB前置放大器,以增强信号检测能力。

图13-1,实验-1的准备设置:3.3V供电LDO测量
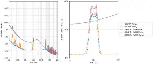
从图13-1所示的设置中,我们获得了提供给125MHz时钟DUT的3.3V供电曲线,如图13-2所示。密度图清晰地突出了叠加在原本非常低噪声3.3V供电上的9kHz至11kHz FM信号。
表中列出了这些曲线的均方根(RMS)噪声值。
在图13-2、13-4和13-5中,“FM噪声20mVPP”标签表示AWG输出的噪声信号幅度。经过修改的LDO模块在信号通过时会对其进行衰减,将其从“mVPP”降低至“μVRMS”。125MHz时钟DUT最终从LDO模块接收到噪声信号功率,具体数值如表格所示。


图13-2,实验-1准备图:含FM信号的LDO噪声谱密度
现在,我们在同一金属屏蔽笼内将此3.3V LDO供电连接至VRTS3;设置如图13-3所示。

图13-3,实验-1设置:3.3V LDO和VRTS3
根据图13-3的实验设置,我们得到了图13-4所示的125MHz时钟相位噪声图。该时钟由3.3V电源供电,并包含了图13-2所示的FM信号。

图13-4,实验-1结果-1:125 MHz时钟相位噪声
在图13-4中,我们可以清晰地观察到9kHz至11kHz FM凸起的蓝色和橙色曲线。
结合图13-2和图13-4,我们可以进行有趣的数学处理:将图13-2的数据集按比例缩放以匹配图13-4。经过快速试错,这个公式使得两幅图很好地重叠:
{图13-4的数据序列} = 20 × log10({图13-2的数据序列}) × 0.8
在此步骤,我们将看到使用FM信号的好处。在这一数据处理中,我们的目标是使9kHz至11kHz的两个平坦区域对齐。基于上述公式,我们可以获得如图13-5所示的重叠图。

图13-5,实验-1结果-2:125MHz时钟相位噪声和3.3V FM信号
125MHz时钟DUT对电源的灵敏度很高。从表13-1中可以看出,即使在1μVRMS范围内的供电噪声水平,也可以在时钟输出上检测到。
再次回到刚才的公式:
{图13-4的数据序列} = 20 × log10({图13-2的数据序列}) × 0.8
在10kHz附近区域,125MHz时钟的灵敏度表现出非常高的线性度;3.3V供电噪声直接影响时钟的相位噪声输出。
根据图13-5的观察,我们可以看到相当于大约10mVPP的FM噪声幅度。
参考图13-2,这个10mVPP值对应于75nV/√Hz的噪声密度水平。
感谢泰克公司(Tektronix),我们在实验1中有机会测试了数字电源管理分析(DPM)选项。
使用DPM菜单中的电源感应抖动(PSIJ)分析工具,针对125MHz时钟上的特定频率成分进行分析。该工具通过有效滤除已识别的噪声频率来生成模拟的“洁净”时钟;这使得我们能够直接比较原始时钟和模拟洁净时钟间的差异,从而深入了解供电噪声对时钟性能的影响。
注:在这个预览实验中,由于PSIJ分析,我们观察到了非常小但有意义(而非误差)的改进。
注2:对于此预览,我们将主频从10kHz增加到100kHz。

图13-6,实验-1预览:PSIJ分析
在这里,我们可以清楚地看到,此PSIJ功能过滤掉了100kHz处的噪声成分,时间间隔误差(TIE)的σ值从7.884ps改善到了7.308ps。
我们的下一个示例是RF 1030MHz LNA。
我们构建了如图13-7所示的测量设置,其中包含以下组件:
-
5V USB供电时钟合成器:作为信号源。
-
20dB衰减器:降低来自信号源的信号幅度,防止低噪声放大器(LNA)达到饱和。
-
Qorvo 880367 1030MHz IFF BAW滤波器:滤除来自信号源的无用信号。
-
Qorvo SGL0622Z 5MHz至4000MHz低噪声SiGe HBT MMIC放大器:用作主DUT LNA。
-
电池供电操作:所有组件均由电池供电,并置于金属屏蔽箱内,以最大限度地减少干扰。

图13-7,实验-2设置示意图:1030MHz LNA搭配3.3V FM信号
在这个例子中,我们预计会看到相位噪声和调幅(AM)噪声同时增加。
在本示例中,我们对放大器的输出级进行了调整;该输出级涉及一个低阻抗节点。因此相较于实验1,需要更强的信号注入。为实现这一点,我们使用Picotest J2121A高功率线路注入器,将FM噪声引入到为LNA供电的3.3V电源中。
图13-8展示了金属外壳内的测量设置。

图13-8,实验-2设置:1030MHz LNA
为确认图13-8中的设置,我们可以使用示波器在时域中监测LNA的输出,如图13-9所示。
(在示例1中,我们监测了时域波形,但本文未展示。)

图13-9,实验-2确认:带有FM信号的1030MHz LNA示波器波形
-
CH-1(黄色):显示LNA DUT的输出。
-
CH-2(蓝色):显示从J2121A向LNA DUT注入FM信号的3.3V电源。
-
在右上角的全时间比例捕获中,我们观察到两个现象:
◎ LNA输出的包络包含10kHz的FM信号,在紫色矩形框中突出显示。
◎ 3.3V电源显示了10 kHz的FM信号,在此次捕获中设置为25mVPP。
-
在右下方的缩放波形中,我们看到了一个幅值约为400mV的洁净1030MHz正弦波。
-
在右侧的频谱视图中,我们观察到LNA输出包含一个源自1030MHz主频的10kHz边带信号。
从图13-8的设置中,我们可以生成相位噪声图(图13-10)和AM噪声图(图13-11)。

图13-10,实验-2结果-1:含FM信号的1030MHz LNA相位噪声

图13-11,实验-2结果-2:含FM信号的1030MHz LNA AM噪声
正如从图13-9中预期的那样,我们在AM噪声图(图13-11)中观察到了明显的凸起。
通过调制LNA的电源,我们可以引发非常微小的相位变化。与图13-11相比,图13-10中相位噪声所受的影响并不那么显著。
从图13-9中,我们可以使用以下公式计算相对于1030MHz时钟功率的FM信号功率:
20 × log10(12.5mV/400mV) × 2 ≈ -60dB
考虑到SGL0622Z模块上旁路电容器的衰减作用,-80dBC/√Hz至-100dBC/√Hz之间的相位噪声或AM噪声处于预期范围内。
我们使用两种新工具进行相同的测量,以确认实验2的结果。
承蒙Picotest的协助,我们获得了P2124A高速线路调制器的原型。
承蒙泰克公司的协助,我们获得了频谱视图RF与时间分析的许可证。
图13-12展示了更新后的实验2设置;如图所示,Picotest P2124A简化了设置。

图13–12,实验-2预览:采用Picotest P2124A的设置

图13–12,实验-2结果-2:含FM信号的1030MHz LNA AM噪声
在图13-12中,使用新的测量选项进行评估时,有几点变得更加容易:
-
频谱-幅度 vs. 时间视图显示了FM信号,无需查看原始时域波形的包络。
在这个频谱-幅度 vs. 时间波形上进行测量,结果显示调频(FM)范围为8.6kHz至11.4kHz
-
频谱图展示了我们的FM扫描结果
使用实验1和实验2中展示的FM噪声方法,我们确认了电源噪声确实调制到了RF或模拟信号输出上。
全球领先的连接和电源解决方案供应商Qorvo®(纳斯达克代码:QRVO)宣布荣获建兴储存科技公司(SSSTC)颁发的“电源类供应商冠军奖”。该奖项每年授予在SSSTC质量评估中表现最为出色的供应商。
从搭载人工智能(AI)技术的门铃,到可穿戴健康监测设备,再到增强现实眼镜,机器视觉的应用已远远超越了工业自动化领域。如今,它已成为众多消费电子产品的核心功能,通过智能检测与控制提升人们的日常生活品质。基于视觉的AI正在改变我们与设备的交互方式,无论是根据人员占用情况自动调节的智能照明系统、仅对有人使用的房间进行制冷的智能暖通空调(HVAC)系统,还是对患者生命体征和健康状况的远程监测。
定位智能软件领域的先驱企业Danalto近日宣布,其Cardinal™云定位引擎(CLE)已成功集成Qorvo最新推出的超宽带(UWB)系统级芯片(SoC)及其面向工业与企业应用的软件开发套件(SDK)。
随着低空经济兴起、智能终端爆发及万物互联加速落地,Wi-Fi已从“连接工具”跃升为数字基础设施核心支柱。继2024年Wi-Fi 7正式商用后,Wi-Fi 8蓄势待发,其并非单纯的速度升级,而是通过频谱优化、智能协同与射频技术革新,突破性能、效率与共存能力的边界。
若说卫星通信领域近期教会了我们什么,那便是天空正变得愈发拥挤。这里说的不是云朵、飞鸟,甚至也不是不明飞行物(尚待政府确认),而是低轨(LEO)卫星——成千上万快速移动的节点从头顶呼啸而过;它们都渴望助你在山顶流畅观看电影、操控无人驾驶拖拉机,或在3.8万英尺高空顺利进行Zoom视频通话。

